Many
Manuals
search
Categorie
Marchi
Home
Bogen
no
ANS-500
Manuale Utente
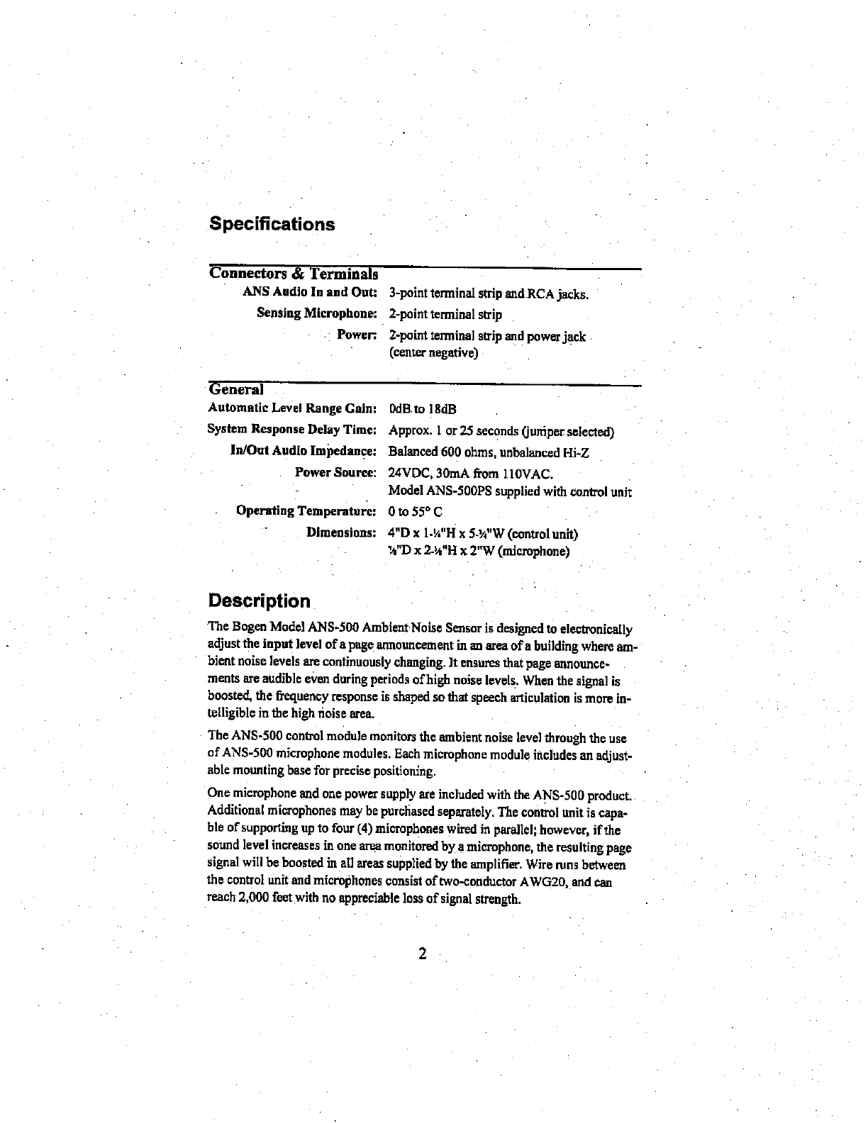
Bogen ANS-500 Manuale Utente Pagina 2
Scaricare
Condividere
Condivisione
Aggiungi ai miei manuali
Stampa
Pagina
/
8
Indice
SEGNALIBRI
Valutato
.
/ 5. Basato su
recensioni clienti
1
2
3
4
5
6
7
8
1
2
3
4
5
6
7
8
Commenti su questo manuale
Nessun commento
Publish
Prodotti e manuali riguardandi no Bogen ANS-500
no Bogen TP-6AP Manuale Utente
(6 pagine)
no Bogen ADP1 Manuale Utente
(8 pagine)
no Bogen UTI1 Manuale Utente
(20 pagine)
no Bogen TPU-35B Manuale Utente
(6 pagine)
no Bogen CA17 Manuale Utente
(1 pagine)
no Bogen C10 Manuale Utente
(4 pagine)
no Bogen PRS48 Manuale Utente
(1 pagine)
no Bogen Communications Telephone Series TIS Manuale Utente
(8 pagine)
no Bogen Communications Telephone Accessories PCM-TIM Manuale Utente
(36 pagine)
no Bogen WMT-1A Manuale Utente
(4 pagine)
no Bogen Loudspeaker AE-5 Manuale Utente
(1 pagine)
no Bogen WMA80 Manuale Utente
(6 pagine)
Stampa documento
Stampa pagina 2
Commenti su questo manuale